柔和燃烧在高温低氧环境下因反应区弥散、燃烧峰值温度低,具有低排放、高效率、低噪声等优势。平行射流柔和燃烧器通过布置在燃烧器头部周围的射流喷嘴产生高速射流,从而引射、卷吸喷嘴周围的高温烟气与喷嘴中的未燃反应物快速混合,稀释反应物并提升反应物的温度,当稀释后的来流反应物温度高于自燃温度以上时可能形成柔和燃烧。高负荷工况下,柔和燃烧可实现稳定燃烧,低负荷工况下,喷嘴周围烟气温度低,回流比一定的情况下难以形成柔和燃烧实现条件,需要采取措施增强燃烧稳定。澳门云顶国际app先进能源动力重点实验室前期的工作表明高速预混平行射流柔和燃烧器可实现低NOx排放柔和燃烧,但稳定燃烧当量比过高,预混模型下运行范围比较窄。在前期工作基础上通过改变燃烧器燃料/空气掺混方式对柔和燃烧器的燃烧稳定范围及燃烧特性进行了研究。
研究的柔和燃烧器采用了纯燃料喷嘴和预混喷嘴间隔布置的设计,(见图1),通过调节预混喷嘴燃料占比(fp=预混喷嘴燃料量/总燃料量)来改变燃料空气掺混程度以应用部分预混燃烧来降低贫燃熄火当量比。通过在常温常压实验台上各掺混模式下的燃烧实验、反应区激光测量和流场结构数值模拟等手段对部分预混掺混模式的稳定性扩展能力和高稳定性下的燃烧区特点进行了研究。
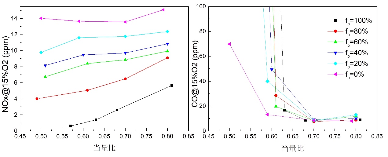
结果表明相较于纯预混模式(fp=100%),非纯预混模式(fp<100%)所对应的贫燃熄火当量比得到了较大的扩展,当量比由0.62降低至0.12(见图2),可满足低负载下的稳定性需求。同时实验也表明该平行高速射流燃烧器的燃料空气预混均匀性对NOx排放影响显著。在当量比0.5-0.8范围内,整体NOx排放值随着预混燃料占比的降低单调增加,排放上限由预混模式的6 ppm@15%O2增加到扩散模式的15 ppm@15%O2(见图3)。由OH*和OH-PLIF的激光测量和模拟流场可知随着预混燃料占比fp的降低,回流区底端和最大负速度区向燃烧室上游移动,初期相对弥散分布的反应区逐渐集中,广泛发生在燃烧室中间区域的反应逐渐集中发生在预混喷嘴射流附近。高速率反应区的增多对应着NOx排放的增加。而扩散和混合模式下随着当量比降低,纯燃料出口回流区域收缩,反应区向纯燃料射流靠近,纯燃料射流出口存在着的局部低速高当量比反应区为整体贫燃氛围下提供了稳定的点火源,避免熄火发生。
研究表明,该平行高速射流柔和燃烧器通过引入纯燃料射流,在部分预混掺混模式下可实现燃烧器熄火当量比的降低,燃料空气的预混程度仍是控制排放的关键因素。上述工作为后续的优化和柔和燃烧器扩稳的喷嘴布置提供了参考。

图 1 燃烧器喷嘴布置
图 2 掺混模式对贫燃稳定性范围的影响
图 3预混喷嘴燃料占比对污染物排放的影响






