澳门云顶国际app
澳门云顶国际app

科研进展

基于格林函数方法的半无限大柱状模型三维瞬时导热研究

发布时间:2020-01-16 作者:文/皮特 来源:国家能源风电叶片研发(实验)中心

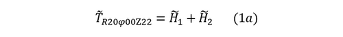
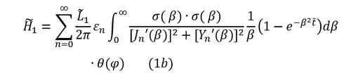
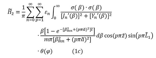
  航空发动机在起动过程中,一些关键部件如电机、传动系统及燃滑油系统等会受到不同程度瞬时热载荷的影响,有必要对相关部件的瞬时导热问题进行研究和分析。目前广泛应用的各种数值分析方法在一定程度上满足了这一需求,但是分析诸如此类的瞬时导热响应问题往往需要使用CFD软件进行多次的迭代才能达到要求的精度,尤其在计算无限或半无限大几何模型时,数值方法将消耗大量的计算资源。为了解决这一问题,国家能源风电叶片研发(实验)中心的研究人员采用格林函数法(Green’s Function Method, GFM)对于半无限大柱状模型(如图1所示)的三维瞬时导热问题展开研究,分析该模型在热流边界条件影响下瞬态导热的演变过程,对比基于格林函数法计算得出的精确解与数值计算所得结果在精度和所需时间上的区别。 

  格林函数法在计算带有非齐次边界条件或者内热源项的瞬态导热问题时具有非常好的适用性,但在使用时需要应对解析解中的反常积分项。对于图1所示的瞬态导热模型,研究人员首先通过格林函数法求出了温度函数的精确表达式(公式1),再将其中的积分项替换为求和项,优化了精确解的计算速度并保证了计算精度。 

  澳门云顶国际app 

  其中: 

    澳门云顶国际app  

    澳门云顶国际app 

  澳门云顶国际app 

  1. 三维柱状瞬态导热模型切面示意图 

  为了验证格林函数法所得精确解的可行性,使用此精确解分别计算了壁面温度在轴向和周向上随时间变化的情况,并与此前所得准确结果进行了对比,结果如图2和图3所示。可以看出温度在瞬态响应初期与理论结果基本完全吻合。此模型中轴向热流区域选取 ,在轴向的温度计算中,当 时温度处于峰值状态,并逐步向未加热区域扩散,而随着时间的增加,在加热区与非加热区的温度也逐步升高。以上结论证明了所得解析解的准确性。 

    澳门云顶国际app  

  2. 无量纲温度在轴向上随时间的变化 

    澳门云顶国际app  

  3. 无量纲温度在周向上随时间的变化 

  为了验证格林函数法所得结果可以替换CFD数值计算方法,图4中计算并对比了两种方法所得无量纲温度在周向上的分布情况。其中CFD计算网格分别选取了coarsemediumfine三种不同程度的细化方式。而解析解精度分别为 =10-2,10-3,10-4。当两种方法的精度都较低时,温度的变化趋势受到计算中吉布斯现象的影响呈现上下浮动的状态,而随着精度的不断提升,计算结果的收敛性也随之改善。结果证实了格林函数法与数值计算方法在高精度条件下具有很好的吻合性。虽然格林函数法不能处理比较复杂的几何结构,但是对于简单规则的几何模型进行瞬态导热分析时,可以使用这种方法替代CFD数值方法,避免重复性的网格划分及边界条件设置,在保证精度的前提下提高计算效率。同时,在没有实验结果支撑时,格林函数法可以作为一种有效的方法对数值计算结果进行验证。相关结论可以广泛应用于航空、材料焊接、地热等多个领域。本项研究受到国家重点研发项目 (No. 2016YFB0901402) 和国家自然科学基金 (No.51776198) 的支持,相关成果已发表在期刊Journal of Heat Transfer ASME上。 

      

   澳门云顶国际app

  4. 精确解与不同网格数CFD计算温度所得结果在无量纲时间 沿周向分布情况对比 

 

 

 

 

  


附件下载: