离心压缩机有着近百年的发展历史,在各领域应用中已形成一系列成熟的技术。但对于新兴的压缩空气储能而言,其具有高效宽工况、频繁启停等特殊要求,具有有别于传统工业应用模式的特点,对传统的离心压缩机技术带来了全新的挑战。因此,为提高整个压缩空气储能系统的效率,针对其核心储能部件压缩机部分开展研究具有重要的意义与价值。除了流场结构决定压缩机的性能好坏外,传热效应也会影响压缩机的性能。在高压和高温工况下,它们的梯度会产生很高的熵,从而导致能量损失。工程热物理研究所储能研发中心开展了压缩空气储能系统离心压缩机内部流动场与温度场协同理论研究方面的研究,取得重要进展。
研究人员引入换热器内部流动与传热协同理论的思想,独创性地提出了高负荷叶轮机械内部流场-温度场的场协同分析方法,该方法不同于换热器场协同理论追求高的换热效率,而是追求工质高做功能力。基于能量守恒基本方程,获得了流场与温度场的协同角方程,即叶栅内流场速度与温度场梯度矢量的方向角余弦,提出了协同面积与能量损失的定量关系,建立了叶栅内部流场-温度场的协同理论。
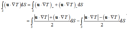
定义协同角为:
利用该理论,揭示了高负荷压缩机叶栅内部流场和温度场协同分布特征、流场与温度场间的协同作用对气动性能的影响(如图1中所示),并进一步提出了定量协同参数对叶栅内部局部不良流动区域的捕捉(如图2中所示)。

依据给定值正负对流场影响的不同,分别定义如下正负协同面积变量A+与A_:

截面位置处A_面积的大小能直接反映出截面位置处相应损失情况,A_面积所占比例越大相应损失就越小。
相关研究受到国家重点研发计划(2017YFB0903602)、中科院前沿科学重点研究计划(QYZDB-SSW-JSC023)的支持。研究成果已在本领域国际期刊Journal of Thermal Science上发表(https://doi.org/10.1007/s11630-019-1205-6)。

图1、叶轮通道内各截面协同角分布

图2、叶轮通道内各截面协同面积比分布





