澳门云顶国际app
澳门云顶国际app

科研进展

研究所在单层硫化钼薄膜热整流研究方面取得重要进展

发布时间:2020-07-01 作者:郑兴华 来源:储能研发中心

  近期,工程热物理所在单层硫化钼薄膜热整流研究方面取得重要进展。近年来,二维材料受到了极大的关注,例如石墨烯,二硫化钼和黑磷等。其中,二硫化钼薄膜因其独特的电学和热学性质而引起了广泛的关注。在电池、氢存储等领域有广泛的应用前景。化学气相沉积生长的单层硫化钼结构,与用于电整流的二极管相似,因此在热整流应用中具有潜在优势。热整流现象是传热系统中的一种特殊行为,其定义为在相同条件下,一个方向的热流大于相反方向的热流。热整流效应由于其在热流定向传输中的潜在应用而引起了广泛的关注。 

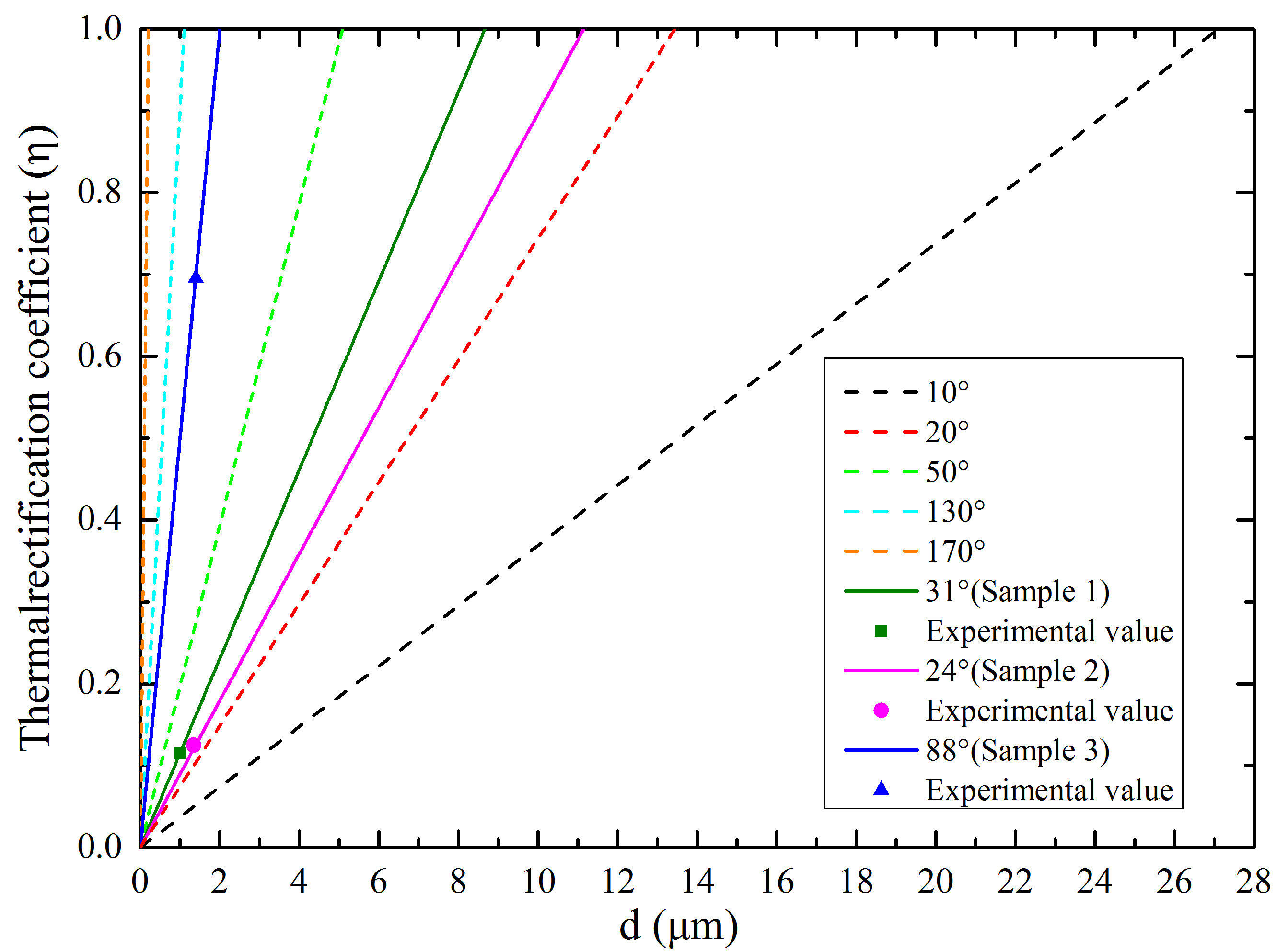
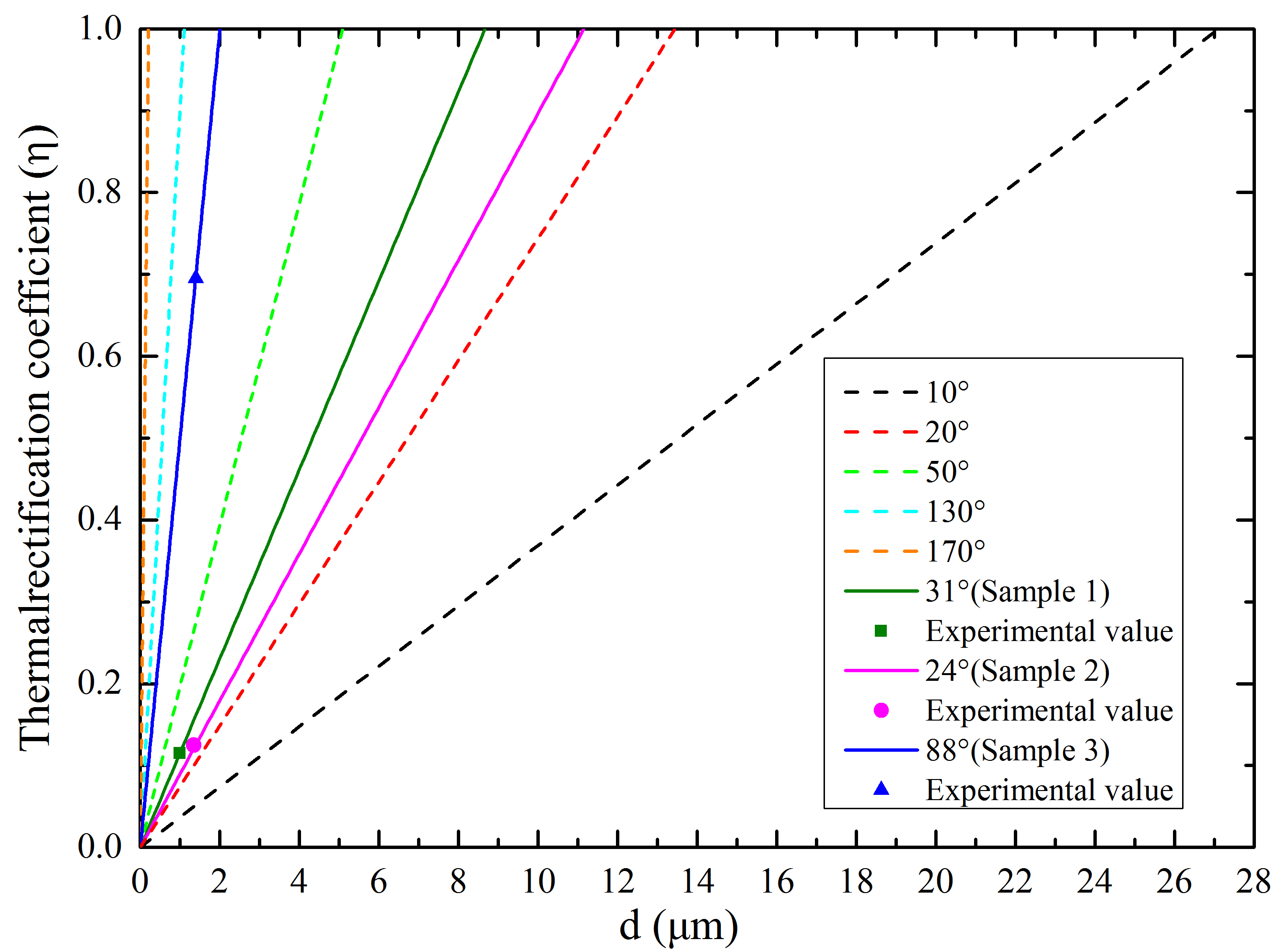
   工程热物理研究所储能研发中心对二硫化钼薄膜的热导率测量及整流效应进行了深入研究。首先采用掩膜版光刻技术制备了一种可用于低维材料热导率测量的悬空微电极,如图1所示。结合谐波探测原理对单层硫化钼薄膜面向热导正反两向进行测量,并获得了热整流系数,如图2所示。结果显示三个单层二硫化钼样品的热导率与文献中的数值接近,其热整流系数值分别是10~13%,11~14%和69~70%。首次实验证实了热整流效应与加热功率无关,微/纳米结构的不对称性是实现热整流的重要原因。结合模拟计算揭示了硫化钼薄膜热整流效应与样品的不对称性之间的构效关系(图3所示),为二硫化钼薄膜在热整流器件及装置的设计和应用提供了重要基础和依据。 

  相关研究受到国家重点研发计划(No. 2017YFB0903605),国家自然科学基金(No. 5197621551925604),中科院科学人才计划(No. E0290706,中国科学院国际合作局国际合作计划182211KYSB20170029),以及分布式冷热电联供系统北京市重点实验室的支持。研究成果发表在本领域权威期刊ACS Applied Materials & Interfaces(影响因子8.758)上,Experimental Study on Thermal Conductivity and Rectification in Suspended Monolayer MoS2, 2020, 12, 25, 28306–28312 (文章链接:https://pubs.acs.org/doi/abs/10.1021/acsami.0c07544

澳门云顶国际app 

  图1 用PMMA转移至电极的硫化钼薄膜

澳门云顶国际app 

  图2热导率和热整流系数随电压变化关系

澳门云顶国际app 

  图3 不同角度的热整流系数及理论模型与实验结果的对比


附件下载: