叶轮机械叶片的设计一般分为正问题和反问题两种方法,其中反问题设计方法可以通过叶片表面的气动参数直接求出叶型,减少了反复迭代修改叶型的过程,设计效率较高,对设计人员的经验依赖小,因此开展叶轮机械叶片反问题设计方法的研究具有重大意义。目前已有的叶轮机械叶片反问题设计方法主要用于单排叶片的优化设计,将其推广到多排叶片的设计研究较少,并且未考虑动静叶片排的相互作用及匹配问题。工程热物理研究所储能研发中心开展了叶轮机械多排叶片全三维反问题设计方法的研究工作,取得了重要进展,相关研究成果(An improved inverse method for multi-row blades of turbomachinery)已在本领域国际期刊Proceedings of the Institution of Mechanical Engineers发表。
储能研发中心团队假设叶片中弧线具有虚拟移动速度,通过引入特征线理论,利用叶片表面的特征相容关系将叶片表面所受的载荷与叶片的虚拟移动速度进行耦合,并且通过研究叶片表面的边界层流动特点,创造性地提出了以粘性底层厚度尺寸(Y+<10)对每个迭代步的虚拟位移量进行限制的方法,确保了反问题设计计算过程的稳定快速收敛。
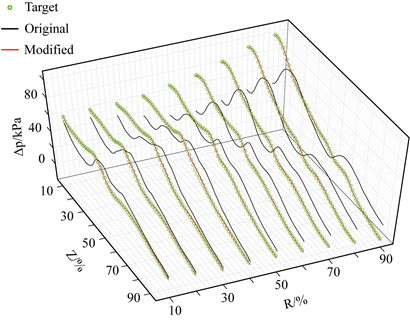
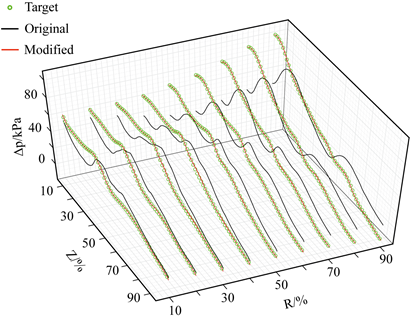
中心团队进一步提出了根据静叶进、出口气流角实时调整静叶进、出口几何角的方法,不仅使反问题方法向多排叶片的推广更加容易,还能有效地改善动静叶片排的匹配效果。利用该方法对Stage35跨声速压气机级(图1)进行了反问题优化设计,优化后的动叶载荷(图2)、静叶气流角和几何角都与目标值符合得很好,且分布更加合理,图3为优化前后的叶型对比,使得压气机级的等熵效率在全工况范围内得到了明显提升(图4)。该方法已在压缩空气储能、燃气轮机和航空发动机设计方面得到应用。
相关研究受到国家重点研发计划(2017YFB0903605),国家杰出青年科学基金 (51925604),中国科学院前沿科学重点研究项目(QYZDB-SSW-JSC023), 中科院洁净能源先导科技专项 (XDA21070200)和2019年度贵州省基础研究计划 ( [2019]1283)的支持。研究成果(An improved inverse method for multi-row blades of turbomachinery)已在本领域国际期刊Proceedings of the Institution of Mechanical Engineers, Part C: Journal of Mechanical Engineering Science上发表(https://doi.org/10.1177/0954406220924451)。
图1 Stage35高负荷压气机
图2 优化前后的动叶载荷分布
图3 反问题优化前后的动静叶型对比
图4 优化前后的整机等熵效率








