近期,中科院工程热物理研究所风能利用重点实验室/国家能源风电叶片研发(实验)中心在风电场布局优化方法上开展了深入研究,提出将大气稳定度作为设计阶段的重要因素,并结合高效的差分进化算法,建立了一个新型的风电场布局优化框架。通过与国外典型工作进行对比,验证了新框架优秀的布局优化效率以及大气稳定度对风电场优化工作的重要影响。相较于传统布局优化框架,新开发的框架能综合考虑当地的复杂大气条件,对于制定更加实际、高效的风电场布局方案具有重要意义。
随着风电产业进入大规模时代,具有大量风电机组的大型风电场日益增多。传统的风电场布局大多按照一定的几何形状进行规律布置,这也使得大型风电场内的尾流影响十分严重,如图1所示。那么如何在风电场的设计阶段制定合理的风力机布局方案,尽可能地减少尾流影响,则是提高风电场整体发电能力,降低机组载荷的关键技术之一。
基于分析尾流模型构建当地风资源条件与风电场产出的关系,并使用优化算法对布局方案进行优化是目前国际上流行的风电场优化设计方法。但是传统的研究中对风资源条件的考虑只有当地的风速和风向两个因素。随着人们对风电场与大气环境的关联认识加深,越来越多的研究表明,大气稳定度作为一项重要的风资源因素,对风电场的诸多方面具有显著影响,比如:功率产出、机组载荷、偏航控制以及尾流特性等。因此,在风电场布局优化工作中重点考虑大气稳定度,探究大气稳定度对其影响规律,将令电场布局方案的设计更加贴近实际,高效可靠。
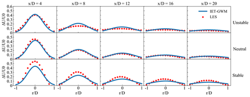
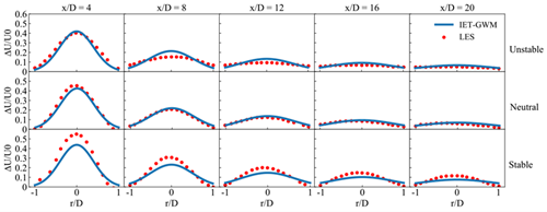
为此,基于课题组最新开发的、具有复杂大气环境下尾流预测能力的新型高斯尾流模型(IET-GWM,如图2所示),结合差分进化算法,构建了一种新型的风力机优化布置框架。该框架将大气稳定度作为重要的影响因素纳入到风力机优化布置过程中。研究表明,随着大气趋向稳定,优化后的布局中有更多的风力机处于较低的发电水平,导致其整体的发电能力显著下降。
为了使优化布局具备适应实时变化的大气环境的能力,该框架建议将当地的大气稳定度的频率分布数据作为优化布置工作的输入加以考虑。以Horns Rev1风电场为例的优化结果表明,应用该框架得到的优化布局结果相比于原始布局的发电量提高了14.7%,如图3所示。同时与传统的、忽略了当地大气变化的优化方法进行对比表明,正确的考虑大气稳定度的分布,将使优化后的布局在更大程度上规避因大气波动而不断变化的尾流影响,从而令更多的风力机具备较高的发电能力,为整体带来近1%的发电能力的提高,如图4所示。
上述研究结果表明大气稳定度作为一项重要的风资源要素,对风电场的布局优化存在显著影响,并且,为了使布局方案更加高效可靠应在设计阶段综合考虑当地的大气稳定度分布情况。在接下来的工作中,团队计划将现有工作拓展至复杂地形条件,开发出更加普适高效的风电场布局优化方法,并积极推动该技术的实际工程应用,为我国风电事业贡献力量。








