构建贫预混火焰是目前先进燃气轮机实现低污染燃烧的主要技术手段。由于贫预混火焰自身的动力学特征和燃烧室较为单一的声学结构,该技术往往伴随有较为显著的热声振荡问题,成为燃烧室研发过程中的技术难点。研究贫预混火焰热声振荡的机制及其抑制方法是燃烧领域长期以来的热点和重点方向之一。
先进燃气轮机实验室航改机科研团队在开展低污染燃烧室燃料灵活性技术研发的过程中,通过对比不同燃料间化学性质的差异,率先提出了一种与燃料自燃过程相关联的热声振荡新机制并开展了相关研究。
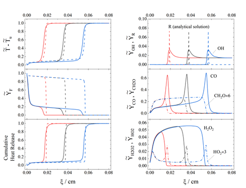
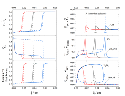
在先进燃气轮机压气机出口气流的高温(~850K)、高压(~3MPa)条件下,大分子碳氢燃料的着火延迟时间急剧缩短(~1ms),燃油与空气混合形成贫预混气的过程中会伴随有较明显的预燃反应,导致火焰传播速度和释热速率增加,从而使释热速率与火焰锋面位置或燃料焰前停留时间的产生关联。火焰在燃烧空间中的瞬态波动将有可能与声波耦合,建立放热-速度-压力脉动间的正向激励,最终形成热声振荡。由于甲烷、氢气等气体燃料在上述工况下的着火延迟时间较长,这一热声振荡的机制在小分子燃料贫预混燃烧过程中的效应基本可以忽略。
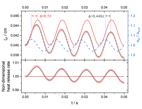
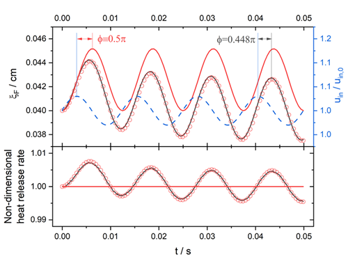
基于上述猜想,研究人员开展了理论研究和数值模拟工作。针对基元贫预混火焰面,建立了考虑焰前化学反应的理论模型(图1),分析、推导出了焰前距离对火焰传播速度的表达式,结合数值计算,证实了这一新的热声振荡机制,并获得了稳定性判据(图4)。研究结果显示,大分子碳氢燃料在与空气混合过程中发生的分解或异构化反应会显著改变火焰锋面上游的气质成分和输运特性(图2),导致火焰传播速度和释热速率增加;当流场中存在速度脉动时,视声阻抗辐角的不同,火焰存在:绝对稳定、绝对不稳定、高频不稳定、低频不稳定四种模态。因此,通过优化低污染燃烧室的燃料分配方案、燃料-空气掺混结构、燃烧组织等方式,可以改变燃烧室声阻抗与燃料焰前反应进度间的相对关系,避免火焰进入绝对不稳定模态,这将成为抑制这一热声振荡新机制的有效途径。
本项研究工作相关成果已发表在燃烧领域权威期刊CombustionandFlame上。下一步,研究人员将针对这一新机制开展实验验证和进一步的研究工作,为研究所低污染燃烧室
的型号研制提供支撑。








