湿空气透平(HAT)循环是新型先进热力循环最具代表性的研究方向之一。回热器作为提高HAT循环效率的关键部件之一,对循环效率和成本的影响最大。微通道结构回热器在质量、体积和换热性能等方面均表现出突出的优势,开展兆瓦级HAT 循环技术的新型高效低阻紧凑式微通道回热器换热机理研究,是化石能源清洁高效可持续开发利用的重要组成部分,有助于实现“碳达峰、碳中和”的国家战略目标。
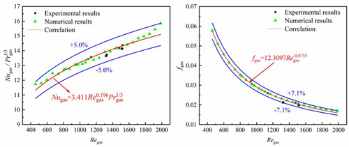
综合国内外的研究表明,微通道结构PCHE回热器中,带有翼型翅片的PCHE具有最优的流动换热性能。研究团队在原有翼型翅片的基础上加以改进,提出了综合性能更优的结构,因此将带有新型翼型翅片的PCHE应用于湿化燃机循环回热器是一个很好的选择。研究人员采用数值模拟方法,开展了新型翼型流道、传统翼型流道和之字形流道综合流动换热性能的比较研究,基于场协同原理对新型翼型流道的强化换热机理进行了分析。研究发现,新型翼型流道的火积耗散数和欧拉数比传统翼型流道小,具有更好的热工水力特性。基于实验和数值模拟结果,获得了新型翼型流道内含湿烟气流动传热关联式(见图1)。

图1 新型翼型流道内含湿烟气流动传热关联式
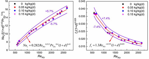
湿工质中的含湿量显著影响微通道回热器的换热性能,为了分析含湿量的定量影响,研究人员构建了翼型-直通道新型耦合流动换热单元三维数理模型,讨论了含湿量、流量和温度等因素对耦合换热的影响规律,对比了翼型结构与直通道、之字形结构的综合流动换热性能。研究表明,增加含湿量可以提高高压空气的整体流动换热特性;在等泵功的条件下,交错排列的翼型翅片相比较于直通道和之字形通道具有最好的热工水力特性。基于干工质经验关联式,引入含湿量强化换热因子,建立了高温含湿烟气和高压湿空气流动换热特性与含湿量的定量关联式,定量描述了含湿量对传热和压降特性的影响规律(见图2)。

图2 高压湿空气流动换热特性与含湿量的定量关联式
以上关联式的获得,为湿化燃机回热器的性能预测模型建立奠定了基础,为最终湿化燃机循环性能整体分析及优化提供了重要的技术支撑。
本研究得到两机重大专项基础研究(2017-I-0009-0010)支持。相关研究成果已经在Applied Thermal Engineering期刊上发表(APPL THERM ENG 188 (2021) 116620 & 192 (2021) 116939)。




