澳门云顶国际app
澳门云顶国际app

科研进展

研究所在先进压气机后面级设计方面取得进展

发布时间:2022-06-06 作者:金芸 来源:先进燃气轮机实验室

  高压压气机后面级叶片高度小,尺寸效应明显,端壁附面层和叶顶/叶根径向间隙占通道的比值大,压气机对间隙的敏感性增强。另外,由于对高紧凑性和轻质量的追求,高压压气机后面级常采用等内径设计以减轻质量(如CFM56、GE90、LEAP-1B等),这可使出口级获得更大的叶片高度,从而易获得高效率,但叶尖切线速度小,难以进一步提高负荷。扩张通道压气机设计可解决后面级存在的上述问题。

  扩张通道压气机设计采用通道扩张增压代替部分叶片折转增压,在相同负荷下,扩张形通道转子叶片具有较长弦长和较小弯角,能有效降低叶片吸、压力面间压差,增强间隙鲁棒性;或在相同叶片弯角下,通过增加通道扩张角度,增加压气机的级扩压能力,提高级负荷。在进行扩张通道设计时,合理选择流道扩张角及叶片弯角对提高压气机的性能至关重要。因此,研究扩张通道压气机内部流动规律及其关键设计参数对压气机性能的影响有重大意义。

  先进燃气轮机实验室研究人员发展了基于扩张通道压气机一维性能预测模型、叶片流道一体化参数化造型方法、BP神经网络模型/Kriging代理模型、遗传算法/NSGA-Ⅱ遗传算法以及CFD数值模拟的单/多目标压气机三维优化设计平台,该平台可实现对扩张通道压气机构型快速寻优;先后针对末级单转子和末级,开展了扩张通道压气机优化设计。

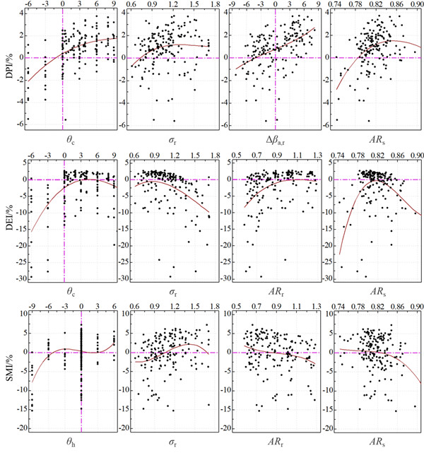
  优化后的出口级压气机设计点压比提高0.79%,效率提高1.56%,稳定裕度提高6.20%。通过对设计参数与目标参数进行回归分析和相关性分析,得到了机匣/轮毂扩张角θc/θh、转/静子叶片展弦比ARr/ARs、转/静子叶片稠度σr/σs、和转/静子叶片弯角Δβa,r/Δβa,s等关键设计参数对压气机性能的影响规律。结果如下:①θc, σr, Δβa,r和ARs的增大对设计点压比改善量(DPI)有正向影响,当σr增大到1.2时,DPI达到峰值,ARs对DPI的最佳范围为0.82-0.88;②对于设计点效率改善量(DEI),θc的最佳范围约为3°-6°,σr的适宜范围约为0.8-1.1,ARr的增加有利于DEI,但当ARr达到1.1时,DEI不增加,当σr在0.82左右时,DEI达到峰值;③对裕度改善量(SMI)来说,σr的最佳取值范围为1.2-1.5。SMI随ARr和ARs的增加而衰减。同时基于熵产率和堵塞分析,详细分析了扩张通道压气机叶片通道内流场参数变化规律。

  本项研究工作得到国家科技重大专项(2017-II-0006-0020)资助,相关研究结果已发表在《航空动力学报》和Journal of Thermal Science期刊,最新研究论文以Integrated blade-passage optimization design of exit stage in a multi-stage axial compressor为题正在发表中。

澳门云顶国际app

1  出口级参数化

澳门云顶国际app

图2 多目标优化设计平台

澳门云顶国际app

图3 优化设计样本集

澳门云顶国际app

图4 设计参数敏感性分析

澳门云顶国际app

图5 扩张通道优化方案的出口级特性线

 

 


附件下载: