涡轮盘腔是航空发动机和燃气轮机中的关键部件,其流动特性和热传递性能对整个系统的效率和可靠性有着重要影响。涡轮盘腔内的流动非常复杂,涉及旋转边界层、静止边界层以及两者之间的相互作用。这种复杂的流动环境导致了涡轮盘腔内边界层的不稳定性和转捩过程,进而影响了热传递和结构完整性。在涡轮盘腔内,高温燃气从涡轮叶片间隙进入盘腔 ,对涡轮盘产生热负荷。为了降低涡轮盘的温度 ,通常采用二次空气系统对其进行冷却。二次空气从压气机引入,经过涡轮盘腔 ,最终从涡轮叶片尾缘排出。涡轮盘腔内的流动状态直接影响了冷却效果和热应力分布,因此准确预测和控制盘腔内的流动对于优化冷却方案和提高涡轮盘寿命至关重要。
传统的涡轮盘腔流动研究主要基于实验测量和简化模型 ,但受限于实验条件和模型假设,其结果难以全面反映真实的流动物理过程。随着计算流体力学的发展 ,数值模拟成为研究涡轮盘腔流动的有力工具。直接数值模拟(DNS)能够解析流动中的所有尺度,提供详细的流场信息 ,但计算成本很高。近年来 ,全局线性稳定性分析在转捩预测方面显示出独特优势 ,通过求解linearized Navier-Stokes方程的特征值问题 ,可以获得流动的不稳定特征和转捩机制。澳门云顶国际app先进燃气轮机实验室的研究工作结合了直接数值模拟和全局线性稳定性分析,深入探讨了涡轮转静系盘腔流动的失稳转捩机理。研究发现 ,在雷诺数较低时,盘腔内的流动主要表现为层流,随着雷诺数增加 ,流动开始出现不稳定性,并最终发展为局部湍流。进一步的稳定性分析表明 ,无粘不稳定性(Inviscid instability)和粘性不稳定性(Viscous instability)的非线性相互作用是导致湍流触发的主要物理机制。这一发现有助于理解涡轮盘腔内湍流的产生过程 ,为湍流模型的发展和流动控制策略的制定提供了理论基础。研究发现,转静系盘腔中全局失稳临界雷诺数Rec=51748,对应的失稳周向波数β=32 ,其特征是边界层内的无粘不稳定性导致的螺旋波形态的扰动波,其径向波长约为20个粘性尺度,见图1。
失稳螺旋模态的演化过程可分为三个阶段,首先是线性阶段,失稳螺旋模态能量不断增长;当到达非线性阶段时,失稳螺旋模态以负群速度向上游高雷诺数区域推进;最终阶段非线性饱和,其导致的基本流修正诱发了粘性圆波模态,粘性圆波模态与无粘失稳螺旋模态共存,见图2。
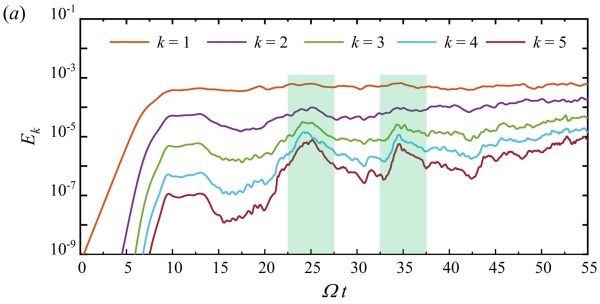
在更高的雷诺数区域,第三阶段中粘性圆波模态与无粘螺旋模态非线性相互作用导致高波数模态能量出现陡增,最终触发转静系盘腔内局部湍流。图3为模态能量的变化,图4为瞬时涡量可视化结果。
以上研究工作得到国家科技重大专项(2019-II-0022-0043)、国家自然科学基金优秀青年基金项目(N0.52122603)、国家自然科学基金青年科学基金项目(No.52106064)支持。相关研究成果以“Onset of turbulence in rotor–stator cavity flows”为题发表在Journal of Fluid Mechanics期刊上,作者为谢亚广,杜强,谢垒,王志成和李思怿。

图1:(a)失稳中性曲线,(b)临界雷诺数,(c)失稳模态特征

图2:(a)子午面扰动速度分布,(b)面扰动速度分布

图3:模态能量随时间的变化

图4:转静系盘腔内局部湍流的涡量可视化




