澳门云顶国际app
澳门云顶国际app

科研进展

研究所在C1-C4烃类燃料高压氧化反应动力学研究方面取得新进展

发布时间:2024-11-25 作者:王乾鹏,邝九杰,田振玉 来源:燃烧动力学研究中心

航空煤油广泛应用于航空航天领域的动力装置。在高温、高压和高速流动的条件下,复杂组分的快速燃烧和相互作用显著影响发动机的性能和排放特性。在这一过程中,燃料与氧化剂及其产物之间发生复杂的化学反应,这些反应共同影响发动机的点火、涡轮前温度和污染物排放等关键参数。小分子烃类燃料,如甲烷、乙炔、乙烯、丙烯和1,3-丁二烯,构成复杂燃料体系的基础。理解这些燃料的燃烧规律对于深入了解复杂燃料的燃烧过程至关重要。因此,深入研究在航空发动机临界工作压力(23-25 atm)下C1-C4烃类燃料的燃烧化学机制,对于揭示航空煤油的高压燃烧特性至关重要,这将有助于提高燃烧效率并减少污染物排放。

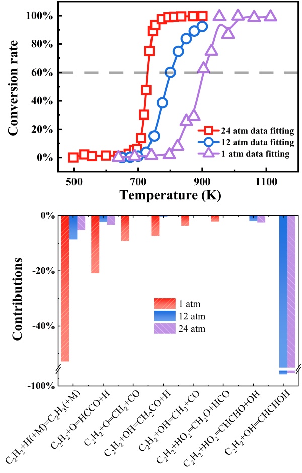
    基于此背景,燃烧动力学研究中心的研究人员在飞机多层机窗设计的启发下,创新研发了双层腔体软连接结构的双腔高压射流搅拌反应器平台。该平台已取得相关发明专利授权(专利号:ZL 201610957961.0、ZL202010390785.3),并且其技术成果已成功转化,相关产品已被丹麦技术大学、美国北德克萨斯大学和哈尔滨工业大学等多家单位采用。该平台的设计压力提升至50个大气压,是目前国际已知的高压射流搅拌平台之一,显著的拓宽了高压稳定测量能力。利用这一高压射流搅拌反应器平台,研究人员开展了从贫燃到富燃的甲烷(12 atm)、乙炔(24 atm)、乙烯(12 atm)、丙烯(12 atm)和1,3-丁二烯(12 atm)的高压氧化实验。同时,利用实时在线的气相色谱和色谱-质谱联用装置对实验氧化产物信息进行了精确的定量测量,并鉴定产物结构及摩尔浓度。通过对一系列C1-C4烃类燃料的高压氧化实验和动力学分析,发现高压对于小分子烃类燃料的氧化行为有着显著影响。随着压力的提高,燃料的反应路径逐渐从与H和O自由基的反应过渡至与OH自由基反应。该研究揭示了高压条件对燃料反应活性的调控作用,并详细阐明了C1-C4烃类燃料的高压氧化动力学机制。这一成果对理解复杂航空燃料的高压燃烧过程具有重要意义。

该系列研究成果为我国RP-3航空煤油在发动机中的低碳清洁高效燃烧提供了理论基础和技术支撑。开发的高压氧化反应机理可为我国航空发动机燃烧室的设计和优化提供重要依据,支持新一代高性能航空发动机的研发,助力空天经济的发展。

团队相关研究成果在国际燃烧学顶级期刊Combustion and Flame(IF=5.8)上发表五篇研究论文,在燃烧领域权威期刊Fuel(IF=6.7)上发表一篇研究论文。本研究获得国家杰出青年科学基金项目、科技部重点研发项目和中国科学院创新引导青年基金等项目的资助。

原文链接:

https://doi.org/10.1016/j.combustflame.2022.112377

https://doi.org/10.1016/j.combustflame.2022.112394

https://doi.org/10.1016/j.combustflame.2023.112693

https://doi.org/10.1016/j.combustflame.2023.112756

https://doi.org/10.1016/j.combustflame.2024.113835

https://doi.org/10.1016/j.fuel.2023.129199

澳门云顶国际app

图1 乙炔在1、12和24 atm三个压力下的浓度比较

澳门云顶国际app

图2 乙炔在1、12和24 atm三个压力下路径分析比较(燃料转化率约60%)


附件下载: