今年7月27日是吴仲华先生诞辰100周年的日子。作为一位杰出的科学家,他奠基的叶轮机械两类相对流面三元流动理论,为航空发动机的发展做出了巨大的贡献;他提出的总能系统理论,尤其是“温度对口,梯级利用”的原理在能源的高效清洁利用中产生了深远的影响;他与我国老一辈科学家创立的工程热物理学科,今天已经在航空航天推进、能源利用和环境保护中,发挥着越来越大的作用。作为一位热爱祖国、热爱生活的科学家,他许多动人的事迹,至今仍在广泛传播,成为鼓舞我们不断攀登科学高峰的强大动力。
一、热爱祖国,热爱生活
1947年从著名的MIT取得科学博士(Science Doctor,ScD)后,年轻的吴仲华进入NACA(NASA的前身)的Lewis 实验室(现在的Glenn研究中心)工作。在给他的两个课题中,他选择了从事叶轮机械气体动力学的研究。经过短短的两三年,就取得了辉煌的成绩:发表了著名的论文NACA Report955和NACA TN2604,在国际科技界引起了巨大反响,得到了很高的评价。就在此时,早有回国想法的他,专程到联合国安理会聆听中国代表伍修权控诉美国侵略的发言后,义愤填膺,毅然决心回国。随后,他与夫人李敏华先后辞去了NACA的工作,到大学教书,并巧妙地利用移民局星期日休息的机会、以旅游为名,绕道欧洲,回到北京,实现了投身新中国建设事业的愿望。
青年时代的吴仲华是一个热爱祖国、热爱生活的大学生,为了抗击日寇的侵略,他曾经投笔从戎,参加国民党的炮兵部队;抗击日军的愿望最终未能实现,他重新回到了母校——清华大学。
抗战中的西南联大条件艰苦,但他坚持努力学习。也就是在这里,他认识了与他同岁的李敏华。他们一个人弹钢琴,一个人拉小提琴,一边交流艺术学习的心得,一边沟通人生的感悟,逐渐产生了爱慕之情,最后结为夫妻,成为终生伴侣。
1943年底,他们双双考取清华的公费留美生,来到了举世闻名的麻省理工学院(MIT)。攻读博士期间,他们有了第一个儿子,承担家务琐事的同时,他们刻苦学习,得到了博士学位:吴仲华在1947年获得科学博士(ScD);一年后,夫人李敏华也得到了哲学博士(PhD),成为MIT航空系的第一个女博士。
值得一提的是,在“无产阶级文化大革命”期间,吴仲华夫妇曾被当作“资产阶级反动学术权威”批斗。但在那样的政治压力下,吴仲华先生仍然坚定地说:我这一生有两件事不后悔,一是选择回国;一是与李敏华结婚。这是科学家高尚情操的真实写照,哪个人听过他的事迹后不为之深深感动呢!
二、叶轮机械三元流动理论
二次大战后,各国经济迅速回升,对新兴的航空工业提出了旺盛的需求。为了飞得更高、更快,必须大力提高发动机的性能和可靠性。那时,航空燃气轮机在各种动力装置中脱颖而出,很快在各种航空推进装置中占据了统治地位。
为了提高航空燃气轮机的性能,要对具有高温、高压、高(转)速等特点的燃气轮机内部的流动、传热、燃烧等过程开展系统、深入、细致的研究,还需要在专门设计的试验台上进行实验。
作为航空发动机核心的风扇、压气机、涡轮等叶轮机械流动的研究,直到上世纪四十年代末期,一直沿用通常空气动力学中飞机机翼时的孤立叶片模型。这种方法,只能计算叶片平均半径处进出口流动参数的变化,不能计算叶片的扭转、弯曲,因为它没有考虑叶片之间的相互作用,对于叶片数量很多的叶轮机械就不适用了。
在这种情况下,为了大幅度提高航空发动机和叶轮机械性能,必须针对非常复杂的叶轮机械流动方程组,根据内部流动的特点,创建新的理论模型,推导相应的数学方程,提出简化的物理假定,给出可以数值求解的基本方程和求解方法。
从叶轮机械流动控制方程〔2〕出发:
连续方程
动量方程
能量方程
这里
分别代表流体或气体的密度、压强和速度,
是液体或气体的粘性应力,
是传热量,
是叶轮机械的旋转速度,
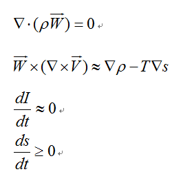
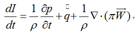
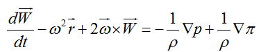
,是相对滞止转子焓。可以看到,在一般外部流动的控制方程中,动量方程没有离心力项和哥氏力项,这使得二者的解是不一样的,而且内部流动的边界条件也与外部流动不一样,因而很难借鉴外部流动的研究成果,必须进行专门的研究。
这个叶轮机械内部流动的控制方程组是一个非线性程度很高的偏微分方程组,求解难度很大。那时,世界上第一台电子计算机刚问世不久,人们对它的重要意义和巨大潜力认识不足。年轻的吴仲华却看到了计算机的重大作用,毅然决然地抛弃了当时流体力学界推崇为高水平的解析求解方法,勇敢地迈上数值求解的道路。可以说,吴仲华先生是国际上从事大规模科学计算的开拓者之一。
对于这个非常复杂的方程组,即使是数值求解也十分困难。要把非定常、粘性和三维性这三个因素都准确考虑,即使在今天仍然是不可能的,而且往往也是不必要的。如何根据叶轮机械内部流动的主要特点提出简化的物理和数学模型,使数值求解成为可能,是摆在人们面前的必须解决的问题。首先,主要考虑最关注的相对定常流动;其次,粘性流动非常复杂,那时不能作为主要因素来考虑,只能采取与实验数据结合的方法来处理;三维性是当时最关心的,与叶片之间的相互作用密切相关。因此,在定常流动的假定下,着重考虑流动的三维性,兼顾粘性,可能是可行的方法。
在这些假定下,再考虑到在叶轮机械中通常使用熵的梯度来表征流动的损失,上述流动的基本方程组简化为

不难看到,能量方程表为相对滞止转子焓沿流线基本保持不变,是一个易于求解的代数方程;其他方程的形式也大大简化,有利于数值求解。但是,即使如此,这组方程在当时的计算条件下仍然无法数值求解,需要进一步提出简化的模型。
为此,我们考虑叶片间的三维相对定常流动。这种三维流场,可以想象由无数条流线组成;而这些流线又可以按照不同的规律组成各种类型的流面。因此,也可以认为这样一个三维流场是由各种不同的流面组成的,这样就把流场、流面和流线三者联系在一起了:只要知道了每一条流线上流体的参数,就知道了整个三维流场;同样,只要知道了每一个流面上流动的参数,也就知道了全部三维流场。因此,我们既可以按照三维的流动方程来求解得到流线上的流动参数,也可以从三维流动方程来建立流面上二维流动的方程,求解得到流面上的流动参数。这就是说,可以把求解叶片中的三维空间流动转化为求解一系列流面上二维流动;这种降维的方法,使叶片间复杂的三维流动的求解成为可能。
对这些流面上二维流动的分析发现,按照不同规律形成的流面千变万化,没有必要求解所有流面上的流动,而只要选择其中按某种原则构成的流面来求解就可以了。进一步,不难注意到,这些流面上的流动相互之间是紧密相关的;而这种关联关系必须通过与之交叉并按不同规律形成的另一类流面才能得到。至此,叶片之间的三维流动就可以转化为相互交叉的两类流面上的二维流动,这给数值求解带来了极大的简化和方便(图1和图2)。

图1 叶片间的两类相对流面 图2 S2相对流面
显然,按照不同规律形成的流面千变万化,没有必要求解所有流面上的流动,只要选择按某种原则构成的流面来求解就可以了。不难注意到,这些流面上的流动相互之间是紧密相关的;而这种关联关系必须通过与之交叉并按不同规律形成的另一类流面才能得到。至此,叶片之间的三维流动就可以转化为相互交叉的两类相对流面上的二维流动,这给数值求解带来了极大的简化和方便。
为了建立两类不同流面之间的关系,根据流面流动的特点,需要导入与通常的空间偏导数不同的流面偏导数。
对任意非正交曲线坐标系下空间的任意流面 S ,可以表为:

在这个流面上,流面偏导数与空间偏导数之间有着关系:

其中,
分别表示流面偏导数和通常的空间偏导数(图3)。通过这个关系可以方便地把空间三维流动的基本方程分别转换为流面上的二维流动基本方程:

图3 流面偏导数与空间偏导数的关系
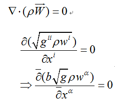
连续方程
在这个方程中,除了用流面偏导数代替空间偏导数外,出现了参数 b :

从数学上和物理上都可以证明,b代表流片厚度。
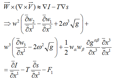
X1方向动量方程
可以看到,这个方程中出现了参数F1。类似地,X2方向的动量方程也可以转化为用流面偏导数表达的方程,其中出现F2。从数学上和物理上都不难证明,F1和F2是矢量
的分量,它表征流面之间的相互作用力:

至此,已经建立了叶轮机械内三维流动基本方程与两类流面上二维流动基本方程之间的关系。可以看出,在流面的流动方程中出现了两个有明确物理意义的量:流片厚度b和流面之间的作用力
;正是它们表征了流面上流动的主要特征,反映了流动的三维性和叶片上流动之间的相互关系。这也是叶轮机械内部流面上二维流动与通常外部二维流动基本方程的不同之处。正是这两个量在计算中不断变化和交换,完成两类流面计算之间的迭代和逐渐收敛过程,最后得到三维流动的收敛解。
现在要决定如何选取两类流面了。从有利于工程计算考虑,可以选取如图1所示的S1和S2两类流面:从叶片上游的一条圆弧出发,在流动中形成的是 S1 流面;而从上游的一条径向线出发,在流动中形成 S2 流面。在设计计算中,可以进一步做出简化的决定:把 S1 流面取作任意回转面,或者更方便地假定为圆锥面,甚至圆柱面;而把 S2 流面取作流道的中心面,甚至子午面。不难看出,S1和S2两类流面都有明确的物理含义,易于与工程设计中的几何概念相结合,给设计计算带来巨大的便利。
我们看到,一个在当时计算条件下无法求解的叶轮机械内十分复杂的三维流动就这样被分解为 S1和S2两族流面上的二维流动,使其数值求解在当时的计算机条件下成为可能。无疑,这是对叶轮机械内部流动研究的巨大贡献:基于两类流面这一理论模型和计算方法,国际学术界对叶轮机械流动进行了深入、系统的研究,发现了许多新的流动现象和规律,大大提高了叶轮机械的性能;基于这一理论和方法,成功地研制出了一代比一代性能优越的航空发动机和燃气轮机,极大地促进了世界航空事业和能源动力工业的发展。
分析吴仲华先生提出的叶轮机械两类流面理论,不难发现,引入的流面偏导数是一座桥梁,它把叶片空间内三维流动的物理量与流面上二维流动的物理量联系在一起,可以把三维的运动方程转换为流面上的二维流动方程;而在导出的流面上流动基本方程中出现了流片厚度和流面之间的作用力,它们是流动三维性的表征,也是流面上流动方程与通常的二维流动方程的不同之处,可以认为它们是流面理论模型的两大支柱。还应当注意到,在这一理论中,引入了一个沿流线的不变量——相对滞止转子焓I,它使方程更为简洁,计算更为简便。这一座桥梁、两个支柱和一个不变量,可以认为是两类流面理论的精华。从这个理论的建立,可以清楚地看出内部流动研究的特点,对于进一步研究其他内部流动现象也是很好的借鉴。
还应当特别指出,这个理论把丰富的想象力、清晰的物理概念、严格的数学演绎和方便的工程应用完美地结合在一起,全方位地体现了工程科学之美。毫不夸张地说,这个基于两类流面的叶轮机械三元流动理论是一个全面展示工程科学之美的优秀范例。
三、工程热物理学科
随着世界上第一颗人造卫星和第一个宇航员进入太空,人类第一次离开了地球母亲,开启了一个新的时代。继飞上天空之后,人类又面临飞离地球、进入太空这样一个需求,吴仲华先生和中国老一代科学家敏感地认识到推进装置的极端重要性和前所未有的科技难度,面对高温、高压、高速、高转速和化学反应交织在一起的复杂现象,为了研制出性能可靠、经济适用的推进系统,必须对其内部的工作过程有深入细致的了解,必须对能量以热的形式转化、输运和利用的规律进行系统的专门的研究,必须把各类热现象、热过程涉及的分散的工程热力学、内部流动气动热力学、传热传质学和燃烧学几门学科紧密结合在一起来考虑。这意味着必须把它们联系在一起,形成一门新的综合性应用学科,进行深入系统的研究,工程热物理学科应运而生。
作为研究能量以热的形式转化的规律及其应用的一门技术科学,工程热物理学科有着坚实的学科基础。对于一个推进装置,首先要从系统上进行研究,从工程热力学的角度来探讨其合理性和优越性,即用热力学第一定律和第二定律来分析、研究,从总体上加以把握。在推进装置和能源动力中,往往涉及到各种流动问题,应当从牛顿三大力学定律出发加以研究,特别是要求解适用于旋转机械的Navier-Stokes方程和相应的边界条件,并在专门设计的、测试精准的试验平台上进行细致的实验。除了流动以外,还常常伴随着多种多样的传热传质现象,此时需要用Fourier定律等来分析。对于伴有燃烧过程发生的现象,更需要用化学反应动力学的定律和方程来加以研究。可见,工程热物理学的几个分支学科在其各自理论和定律作为基础的同时,还存在着内在的深刻的联系,这使得工程热物理学成为一门内部结构完整、逻辑性很强的学科。
作为一门工程科学,半个多世纪以来,工程热物理学有了长足的进展,其应用范围也大为扩展。现在,它在航空航天推进、能源高效清洁利用、新能源开发、环境保护等领域发挥着越来越重要的作用。创建工程热物理学的影响已经充分显现,而且必将为科学和技术的发展做出日益显著的贡献。正如国际知名科学家田长霖先生所预言的那样,提出工程热物理学科的意义“随着时间的推移,将日益显现”。可以预期,随着临近空间高超声速飞行的实现和高效、清洁能源技术以及大规模可再生能源的利用,工程热物理学将迎来更为辉煌的时代。
四、能源科学技术
改革开放以后,我国进入了经济高速发展的时代。作为一位战略科学家,吴仲华先生敏锐地意识到,能源是社会和经济发展的重要基础,能源问题将成为我国和世界各国发展的重大制约因素,必须认真对待,应及早研究应对措施和解决办法,制定正确的能源开发和利用战略。
正当这个时候,他收到了中共中央书记处举办的科学技术讲座第二讲关于能源问题的邀请。经过广泛的调研、深刻的分析和慎密的思考,他把讲座题目定为“中国的能源问题及其依靠科学技术解决的途径”。八十年代初,我国的能源供应尚不紧张,能源问题也未引起各方高度重视,此时吴先生已经清楚地看到能源问题的重要性,他明确地指出“能源是中国现代化的一个根本环节和战略重点”。
报告中,他特别强调了节能和提高能源利用率的重大意义。在总结人类利用能源的经验教训的基础上,提出了“分配得当,各得其所,温度对口,梯级利用”这一高效利用能源的十六字原则。其中“温度对口,梯级利用”是热力学第一定律和第二定律的综合与总结,是普遍适用的科学原理,对节能和科学用能有重要的指导意义。他还进一步提出了“总能系统”的概念,来阐明能的梯级利用这一重要原理。
与此同时,正如讲座题目所表明的那样,吴先生着重指出了科学技术对解决能源问题的重要作用,特别提出必须努力发展高新技术,“科学研究工作必须先行”。在报告中,他还建议国家统一组织、领导,制定近期和远期规划;指出能源工业中产生的大量污染,建议重视环境保护工作;对各种能源,要从重要性、经济性、技术可行性、环保性等方面进行中综合、全面的比较,做到“分配得当,各得其所”。
今天,当雾霾和气候灾难频发,当能源问题和环境问题困扰着人类的时候,对它们进行战略性、前瞻性的研究十分必要。当前,“能源革命”的风暴席卷我国,这是我国能源充足、经济、清洁、低碳、长久供应的根本保证,是一个全局性的问题。根本的解决办法就是深入探讨“能源技术革命”的内涵,它对不同能源品种的具体要求是什么?怎么样来实现?尽管我们现在还不能完全给出这些问题的答案,但有一点是肯定的:哪种能源的技术革命越彻底,它在未来能源格局中起的作用就越大!
历史在前进,时代在变化。与上个世纪相比,我国和世界都发生了巨大改变。但无论如何变化,科学的精神、创新的思维、严谨的作风和扎实的工作,仍然需要坚持。因此,认真学习、深入研究、继承并且进一步发扬光大吴仲华的爱国情怀和学术思想,显得尤为重要。让我们在它的光芒照耀下,在科学的道路上不断攀登,为祖国的富强、人民的幸福,为科技事业的繁荣努力奋斗!
作者简介:徐建中,1940年生,中国科学院院士,国际吸气式发动机学会(ISABE)副主席,《工程热物理学报》副主编。其师从吴仲华先生,1967年研究生毕业后一直在吴先生身边工作,深受吴先生教诲与喜爱。长期从事叶轮机械气动热力学基础及应用研究,提出了叶轮机械三维激波关系,发展了三元流动理论。曾获国家自然科学二等奖、中科院重大科技成果一等奖及国防科学技术一等奖等。