吴仲华先生从1948年在美国航空咨询委员会(NACA)刘易斯喷气推进实验室任研究科学家开始,至1992年去世,从事科研工作44年。他一生的学术成就大致可以分为以下方面:
一、创立叶轮机械三元流动通用理论
二、创立工程热物理学科
三、参与国家能源动力战略研究与决策,倡导总能系统与能源战略构思
四、研究发展燃气轮机及联合循环
一、创立叶轮机械三元流动通用理论
叶轮机械是在旋转的轮子上装上叶片,通过叶片与流体进行作功量交换的动力机械总称,属于这类机械的有:航空喷气发动机(燃气轮机)中的压气机、透平、蒸汽轮机、鼓风机、泵等,所以是量大面广、十分重要的动力机械,当时以航空喷气发动机中的压气机要求最严、技术含量最高为典型。
吴仲华先生于上世纪五十年代初创立了国际公认的叶轮机械三元流动理论。我们试图分析他之所以成功的学术思想。
1. 抓住了科学发展的新动向
航空涡轮喷气发动机的发明是在上世纪三十年代,最初由于压气机耗功大于透平的作功,所以整个发动机的效率是负的,这自然是不可取的。其原因是压气机、透平内部流动太复杂,设计不善,流动效率太低。随着第二次世界大战结束和各国经济的复苏与发展,航空事业受到前所未有的重视,特别是涡轮喷气发动机问世后便很快在航空发动机中占据压倒优势,使飞机突破了“声障”,实现了超声速飞行,为空中交通开辟了广阔的前景。为了进一步提高航空发动机的性能,发达国家投入大量的人力、财力和物力,研究工作如火如荼地开展起来。
回顾历史,当时叶轮机械内部流动的理论基础是航空工程中的绕机翼流动理论,可是叶轮机械内部流动远远较绕机翼流动复杂:不仅叶片形状复杂、数目很多、动静叶片相互作用,而且受内外壁面影响,流动呈现非定常、三维(元)粘性流动特征,流体流动速度又有亚声速、超声速、跨声速之分等等。当时求解这么复杂的问题是很困难的。
在上世纪四十年代后期,美国麻省理工学院(MIT)发明了现在电子计算机的前身——起初名为“积分效应器”的仪器,想不到的是这对世界的发展起到了谁也没有想到而且至今都无法估计的作用!
当时吴仲华刚从麻省理工学院博士毕业,他抓住了这个世界科学发展的新动向:开辟了数值求解叶轮机械三元流动新方向。
当时一般研究方向是进行解析求解,为了方程可以解析求解,只得对问题多作近似,使方程大为简化。例如:采用保角变换方法求解绕机翼流动,则只能求解很有限的叶片形状,而且是限于平面二维流动。显然这是不能满足叶轮机械发展要求的。而一个崭新的研究方向是:尽量反映实际叶轮机械内部复杂三维流动的真貌,方程自然是复杂多了,无法解析求解,则采用离散化数值求解的途径。现在似乎大家都很习惯了,到处在使用电子计算机进行数值求解。可是要强调的是,当时根本没有现在的电子计算机,有的只是手摇的或电动的机械计算器,做一次加法,要手摇一圈!要进行数值求解也是很不容易的。
我们认为:吴仲华创立的叶轮机械三元流动理论之所以能起到这么大的作用,经久不衰,就在于各学科的发展是相辅相成的。他抓住了数值仿真这个科学发展的新动向,他的理论是与世界科学发展同步的,我们认为这是很重要的原因。在上世纪八十年代美国召开的国际燃气轮机大会上,国外学者总结道:上世纪五十年代初,叶轮机械界发生了两件大事:电子计算机的发明和吴仲华叶轮机械三元流动理论的创立,这决定了叶轮机械的发展!的确,这两件大事又是密切相关,相辅相成的!
今天,数值求解已经是工程和科学中普遍使用的有效手段。可以毫不夸张地说,吴仲华是国际上系统地从事工程数值计算方法的开拓者之一。
2. 严密的基本概念和创新的思想
研究大方向的正确,又建立在严密的基本概念和创新的思想基础之上,这是吴仲华叶轮机械三元流动理论的又一个特点。
当时,叶轮机械内部流动的研究仍然沿用外部流动的方法,即将叶片视为相互之间没有关联的孤立翼型。这种办法,只能得到叶片平均半径进出口处的流动情况,而无法计算叶片沿叶高方向流动的变化。吴仲华认为,必须考虑叶片之间的相互作用,摒弃孤立翼型的方法。这是吴仲华做出的又一个重大的抉择。40年后,他当时的主要争论对手——将叶轮视作为一个激盘的Marble教授回忆起这段经历时微笑着说,“吴是对的,我当时错了。”Marble教授的坦荡胸怀,既是对吴仲华工作的赞美,更是对我们这些后来者科学精神的教育。
面对着叶轮机械内三维粘性非定常流动,要把粘性、三维、非定常这三个因素都准确地加以考虑是不可能的。实际上,即使在今天,人们也还不可能完整、准确地同时考虑这三个因素。因此,如何根据叶轮机械内部流动的主要特点,提出简化的模型,使问题的求解成为可能,就是首先必须解决的问题。从叶轮机械内部流动来看,粘性和非定常都比较复杂,对流动三维性的了解显得更迫切一些。因此,以流动的三维性为考虑的主要因素,同时兼顾其他二者,是当时主要的研究方向。
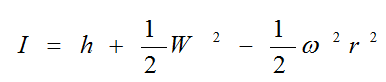
牛顿力学体系,一般流体动力学方程所采用的基本求解函数是流体的压力、密度和速度,被称为自然求解函数。而吴仲华根据叶轮机械作为动力机械的特点,人们关心的是其作功量和效率。吴仲华根据工程热力学基本原理提出了一个新的待求函数:相对滞止转子焓I:

其中h为焓,W为相对速度、 为旋转角速度。在定常流动中,沿着流线,相对滞止转子焓I保持常数,这反映了功量交换。并采用了另一个反映流动损失的热力学函数熵s。 由此根据流体力学、工程热力学基本原理,推导得出了新的叶轮机械三元流动基本方程:

在粘性项的处理中,最有特色的是吴仲华将在试验中可以测得的流动损失数据转换为熵的变化,而在基本方程中巧妙地用熵的梯度来代替粘性项;经过这样的分析和严谨的推演,叶轮机械三维流动的基本方程的动量方程中就不再出现形式复杂、难以求解的粘性项,而代之以熵的梯度;而能量方程也以转子焓的变化来表达。流动的基本方程就这样被大大简化,显得非常简洁,为进一步求解打下了很好的基础。
这方程物理意义明确,形式简洁,是矢量不变形式,适合于各种坐标系统,成为叶轮机械三元流动计算的基础,所以被广泛引用,并被称为“吴氏方程”。
3. 化整为零,提出了流面模型
应该强调,在上世纪五十年代初期,计算机还仅是雏形,尚无法求解这样的三维流动方程。于是吴仲华提出了流面模型,其目的是化整为零,将三维流动分解为一系列二维流动的组合。
在相对定常流动的假定下,可以想象叶片之间的三维流动有无数条流线,而这些流线又可以组成许许多多不同类型的流面。只要知道了这些流面上流体的流动,就知道了整个的三维流动,这样问题也就转化为流面上二维流动的求解。按照不同规律形成的流面千变万化,没有必要求解所有流面上的流动,而只有选择按某一种原则构成的流面来求解就可以了。注意到这些流面上的流动相互之间是密切关联的,而要找到这种关联,必须考虑按不同规律形成的另一类流面,对这种流面的唯一要求是必须与前一种流面相交。这就是吴仲华先生两类流面理论的基本物理模型,如图1所示。根据其物理意义,可以将这些流面分为两族:一族流面基本为从叶片到叶片,反映了叶型的影响。被称为S1流面。另一族流面基本为从叶片根部到顶部,沿径向变化。这族流面被称为S2流面。由于受到流面的约束,在流面上的流动就成为二维流动,对其流动求解就大为简化,在当时成为可能。
为了建立两类不同流面上流动之间的关系,引入了流面偏导数的概念,导出了其与通常的空间偏导数的关系,通过这个桥梁,从上述叶轮机械三维流动的基本方程,就可以简便地得到两类流面上流动的基本方程。这些新得到的方程,与通常流体力学中的二维流动基本方程有着重大的不同:除了用流面偏导数代替通常的偏导数外,在前者中出现了流片厚度和流面之间作用力这两个量,它们都有明确的物理意义。在求解了这些方程后,将它们相互叠代,所得到的收敛解便是三维流动的解。更进一步,从工程应用的角度考虑,选择有明显物理含义的S1流面和S2流面作为两类流面。
这两族流面又是相关的。这两族流面的交线,也即是公共流线。在这两族流面上分别计算,通过相关参数迭代,当两族流面分别计算的结果,在这公共流线上达到相同时,就得到了收敛结果,这样就得到了完整的三维流动。
从上述分析不难看出,吴仲华先生创立的两类流面理论将丰富的想象力、清晰的物理概念、严格的数学演绎和方便的工程应用完美地结合在一起。这样,两类流面模型就将当时条件下无法求解的十分复杂的三维流动分解为相互关联的两族流面上的二维流动,使其求解成为可能。显然,这是一个巨大的贡献,对推动叶轮机械的发展,对促进航空发动机和燃气轮机的发展起到了重大的作用。
4. 密切联系工程实际,与实验研究结合
理论分析、数值计算和实验研究三者结合,是至今许多学科的共同研究方法。吴仲华在发展叶轮机械三元流动理论时,十分明确三元流动理论是为研制、设计、分析叶轮机械服务的。他一直强调不会设计叶轮机械的人是搞不好三元流动理论的,因为不理解设计叶轮机械时会遇到什么问题。即使至今,我们仍无法完全依靠计算求得所有的结果,例如流动的损失。他十分重视实验研究,在计算中一些计算参数就来源于实验结果,这样数值计算和实验研究结合,研究成果就可以很好地应用于实际叶轮机械的设计、分析。
发动机发展中积累了大量机翼试验数据,平面叶栅、环形叶栅、旋转叶栅、单级和多级叶轮机械等系列实验研究的结果,都和 S1流面与S2流面计算密切结合,组成了叶轮机械设计和分析的有力工具。所以吴仲华三元流动理论能常年不衰,一直被叶轮机械设计、制造、研究部门广泛应用,成功地研制了各代先进航空发动机。S1流面与S2流面,成为叶轮机械界共同的工作语言。
5. 理论应用的深入与叶轮机械的发展相辅相成
我们应该强调的是在上世纪五十年代初期,尽管三元流动理论已经建立,但当时的计算技术、计算机能力等都尚不足于完成两族流面迭代收敛结果。所以吴仲华自己一直认为,当时还仅是“流面模型”。而且在那时,航空发动机也没有发展到目前的先进程度,要求的设计方法也没有那么先进。两族流面迭代收敛结果是上世纪七十年代在中国科学院完成的。
为了适应当时的计算机能力、计算技术和航空发动机发展的需要,吴仲华三元流动理论的应用也是与时俱进,分阶段发展的。根据近似简化的程度,吴仲华理论的应用可以分为:简化径向平衡、通流S2流面计算、圆柱面S1流面、任意回转面S1流面、任意翘曲S1流面、两族流面迭代收敛等不同的阶段。在不同的应用阶段,都成功地设计、研制、发展了各代先进航空发动机。图2是著名的英国 罗尔·罗易斯(R & R Co,)航空发动机公司在上世纪七十年代后期统计的国际航空发动机发展的历程: 图2中横坐标为压气机的级压比,反映了航空发动机的发展水平。图中所列的都是各代国际先进的航空发动机。如RB211为波音 747飞机的发动机。图中所列的文字是说明由简化到全面应用吴仲华理论的不同程度。这图正说明了吴仲华理论在各阶段航空发动机发展中所起到的作用。1992年吴仲华先生逝世时,美国机械工程师学会发表的讣告中列举了应用吴仲华理论设计的一系列著名的航空发动机。
6. 不断发展,任意非正交曲线坐标系统的应用
为了适应各种复杂形状的叶轮机械,编制统一的计算机程序,吴仲华又在上世纪六十年代中期发展了应用任意非正交曲线坐标系统的叶轮机械三元流动理论,并亲自领导了一个研究小组,研究其数值计算方法,研制了整套的应用任意非正交曲线坐标系统的叶轮机械三元流动计算机程序包,把叶轮机械三元流动设计、分析又提高到了新的水平,被誉为“叶轮机械三元流动理论新的里程碑”。
由于文化大革命,吴仲华直到1976年才应邀在国际会议上发表了这部分研究成果,受到了国际学术界的重视,被誉为会议中的“亮点”,“只有叶轮机械三元流动理论创立者才能贡献的工作”。国际评论:“任意非正交曲线坐标系统,架起了有限差分法和有限元法之间的桥梁”。应英国帝国理工大学Spalding教授的邀请,吴仲华与他进行了合作,把任意非正交曲线坐标系统的计算方法、程序发展到他们的PHOENICS程序中。
7. 为祖国叶轮机械发展服务
一心为祖国服务,为祖国航空发动机的发展服务,这精神力量也是吴仲华能不惧困难和曲折取得成功的重要原因。他呕心沥血,一直努力工作在科研第一线。特别是身体力行,亲自去工厂、研究所参加航空发动机的改型设计、实验等工作。他理论联系实际,不断发展了叶轮机械三元流动理论,这也是他事业不断成功的又一个重要原因。如果是为了个人私利,他在美国早已功成名就,不需要这么努力奋斗了。
吴仲华被誉为“叶轮机械先锋”,三元流动理论创立至今已50余年了。至今他的理论仍不断地被世界各国叶轮机械,特别是航空发动机行业的工厂、研究所等广泛应用,也为我国的叶轮机械发展做出了杰出的贡献,理论的应用范围日益扩大,除了航空发动机、燃气轮机、蒸汽轮机、泵等以外,在我国三峡水利枢纽工程水轮机的设计研究中也应用了这一理论。
计算机、计算技术的飞速发展,使得计算能力得到相应的提高。目前直接求解三维粘性流动(N-S方程)已成为可能。至今,作为设计叶轮机械(反问题),吴仲华的流面理论仍是被广泛应用的设计方法,因为很多实验成果、设计经验都可以直接应用于设计。直接求解三维粘性流动来进行设计(反问题)还是有困难的。而作为分析问题(正问题)可以直接求解三维粘性流动。所以,目前一般是应用吴仲华的流面理论进行设计,而后再直接求解三维粘性流动进行正问题分析。包容万象才能致使科学发展,我们认为这两者是相辅相成、并行不悖的。
但是即使如此,至今还有不少新的难题需要研究,如与叶轮机械内部流动密切相关的湍流问题仍是未解决的世纪难题。所以理论分析、数值仿真和实验研究始终是发展叶轮机械必要的努力方向。叶轮机械三元流动理论也必然会不断地发展。
二、创立工程热物理学科
工程热物理学是研究热、能、功转换与利用过程中的基本物理现象、规律的应用基础学科,它包括:工程热力学、气动热力学、传热传质学、燃烧学等分支学科。按其应用又可包括:能源利用、热机、流体机械、多相流动等。它研究各类热现象、热过程的内在规律,并用以指导工程实践。所以这是关系到国防、国民经济所有部门和国民生活的重要学科。
1. 创立工程热物理学科
热、能、功的转换与利用是人类长期的行为,对它的研究也是人们长期的努力。随着社会发展,人们对热能的要求飞速增长,特别是上世纪开创了喷气、核能时代,引入了很多新的技术问题,加强基础研究成为当务之急。
尽管热学与工程实际也有着十分密切的联系,但在上世纪六十年代以前却没有成为一个独立的学科。上世纪四十年代后期以来,发达国家社会与经济的迅猛发展,特别是对航空航天动力的迫切需求,投入了空前的人力、物力和财力,系统、深入地研究在这些动力装置中复杂的能量转换过程,提高它们的性能和经济性。与其他动力装置比较,航空发动机和航天的推进动力内部过程包括流动、传热传质和燃烧现象及其集成,由于高温、高压、高速和化学反应交织在一起,这个过程极为复杂,研究的难度也大为提高。正是在非常需要对这一综合的过程进行专门研究的时候,吴仲华先生于上世纪六十年代初期不失时机地提出了创立工程热物理学科的提议。
上世纪五十年代是我国科学的春天,制订科学十二年长期发展规划。1961年吴仲华参加国家科委和中国科学院召开的“技术科学学科规划”和“星际航行座谈会”,以极大的魄力和科学远见,讨论各种有关问题,提出了许多建议。特别是为了加强热、能、功的转换与利用的基础研究,他倡议创立研究热、能、功的转换与利用的基本物理规律的工程热物理学科,得到梁守、史绍熙、宁、王补宣、陈学俊、王宏基等同仁们的一致赞同。于是创立了工程热物理学科,从此开拓了工程热物理学研究、发展的新时代。
工程热物理学有着自己的基本定律:热力学的第一定律和第二定律、Newton力学的定律、传热传质的定律和化学反应的定律。在这些定律和反映其本质的基本方程的基础上,需要根据研究对象的不同特点,在特别设计的实验装置上进行多种细致、可靠的试验,以发现其特有的规律和基本特征,为设计提供理论依据和计算方法,并在工程实践加以应用、验证和不断完善。由此可见,作为一门技术科学学科,工程热物理学的研究既包含知识创新的内容,也有许多技术创新的内容,是一个完整的学科体系。
虽然工程热物理学的诞生与航空航天推进的飞速发展紧密相关,但它在其它动力设备中也有广泛的应用,这也是这一学科自诞生以来发展迅速的重要原因。特别是近年来,随着能源与环境问题成为社会和经济发展的瓶颈,工程热物理学的用武之地更为宽阔,已经成为提高能源利用效率、减少污染的有力武器。可以预见,在解决能源与环境问题中,在研发高性能航空发动机和航天推进动力中,工程热物理学将取得巨大的发展。
应当指出,随着研究对象的不断拓展,工程热物理学的研究内容也在进一步扩大着。例如,如今工程热物理学研究的对象不仅限于“热”的问题,也在研究“冷”的问题(包括各种反循环和制冷的问题)及不“热”不“冷”的问题(如各类流体机械和风能利用等)。
工程热物理学已经不再只是停留研究宏观问题的层面,它也在向微观的领域进发。如今,各种微动力装置和热设备应运而生,微、纳尺度下特有的种种现象,提出了一系列有趣的研究课题,这将是工程热物理学科发展的一个崭新的方向,这也是其今后蓬勃发展的一个重要方面。
国际著名科学家田长霖教授生前讲过一段话:“吴仲华先生一生对科学的主要贡献有两个,一是创立叶轮机械三元流动理论,这已经是举世公认的了;另一是他提出了工程热物理学科,这一点还没有为充分认识,但它的意义随着时间的推移,会日益显现。”
2. 制定了全国工程热物理学科发展规划
1978年,经吴仲华等的提议,国家科委设立工程热物理学科组,吴仲华担任组长,领导制定了全国工程热物理学科发展规划。
1975年,他参加华国锋副总理按邓小平的指示召开的“百家争鸣”座谈会和科学院受华国锋的委托召开的座谈会,提出要重视把理论成果应用到生产上去,认为科学院应搞基础性工作,搞新技术、新方法的探索,不同于国防和工业部门以型号研制为主。
3. 创建工程热物理学会
为了提供学术交流的平台,吴仲华倡议并得到国内各方面同仁们的附议,经中国科学技术协会、民政部批准,于1978年10 月在杭州莫干山召开了中国工程热物理学会成立大会,吴仲华担任首任理事长。
吴仲华对工程热物理学会的事务十分精心,他一贯亲自主持学会重要事务。他办学会的宗旨是:学会是工程热物理学界的学术交流场合,坚决不搞任何歪门邪道!每年按期召开学术交流会议,在学术交流中百家争鸣,尊老爱幼,畅所欲言。每次会议,他都参加听讲。为了提高学术交流的效率,他规定了几条:不搞开幕式、闭幕式,会议不搞旅游,非作者不能代做报告,报告人要做好幻灯片或PPT,不能用大字报等等,培养了良好的学术交流氛围。
在他和前辈们领导下,学会成立后的近30年中,得到了迅速的成长:每年的学术交流论文都在四、五百篇以上;多次举办了国际学术会议、展览;与世界上一些权威的学术机构建立了合作关系,成为国际承认的学术组织。
4. 创办工程热物理学报
1980年,吴仲华创办了工程热物理学报,担任主编,他亲自审稿、定稿,学报稿件来自国内各方面,经初审,每年学术报告会议上评审、最后定稿,保证了稿件质量。在学报上百家争鸣,决不一言堂,举一小例:一次由他亲自定的稿,刊出后有位年轻读者指出其中有误,吴仲华认真地阅读后感到这位年轻读者的意见是正确的,就通过原作者和这位读者交流,取得共识后,在学报上刊登了纠正的论文,并注明双方刊前经过讨论。这样既辨明了是非,又和谐相处。吴仲华不文过饰非,不以权威压人,树立了良好的榜样。
近30年的工程热物理学报,不是一份历史悠久的学报,但已被一致公认为动力工程和工程热物理学科的权威学报。吴仲华为了扩大国际影响,两次努力在美国出版中国工程热物理学报,后终因资金原因,未能实现。
综上所述,吴仲华为了我国的工程热物理学科的发展,呕心沥血,已尽了最大的努力。
三、参与国家能源动力战略研究与决策,倡导总能系统与能源战略构思
1. 我国能源问题的战略构思
1980年拨乱反正后,吴仲华在中共中央书记处举办的科学技术知识讲座做《中国的能源问题及其依靠科学技术解决的途径》报告中(当时全体中央领导除邓小平外都到会),从科学技术角度,提出解决我国能源问题的战略构思。提出各种不同品质的能源要合理分配,对口供应,做到各得其所,在相当长时期内要把加快煤炭的开发摆在重要的地位,电力建设要逐步把水电开发放在重点上,在严重缺能地区还要建设核电站,因地制宜地发展各种新能源等。提倡按照“温度对口、梯级利用”原则,大力发展各种联合循环与热电并供、余能利用等总能系统。指出能源工业很容易产生大量的各种污染,在发展能源的同时必须要很好地重视环保工作。指出现代科学技术的发展为较大幅度地提高能源利用率提供了可能性,应该努力做好能源规划工作,大力加强能源的科学研究,掌握有关的先进科学技术,抓好能源开发,特别是要节约能源,开展以节能为中心的技术改造等。
这份报告经过精炼后在党刊《红旗》杂志上全文转载,是《红旗》杂志上极为罕见的科技性文章。后来,中央党校又邀请他对全校作报告,这份报告内容经整理后正式出版为县团级干部必读教材。1981年,他任全国能源基础与管理标准化技术委员会主任,对我国能源标准与能源法规制定提出完整的指导性意见,认为能源标准化是合理开发能源资源、提高能源利用率、更新和改造能量转换设备和用能设备的科学技术依据,是能源管理和能源立法的科学技术基础。
吴仲华为我国能源领域战略研究与决策倾注大量心血,做出了重大贡献,他的真知灼见影响深远,许多意见至今仍然具有现实指导意义。
2. 倡导能的梯级利用与总能系统
吴仲华先生对我国能源问题的战略构思是基于能的综合梯级利用的科学用能思想。1988年,他主编《能的梯级利用与燃气轮机总能系统》专著,对能的梯级利用与总能系统进一步做了全面阐述。“温度对口、梯级利用”的热力系统,通常被称为总能系统(狭义)。也可以给它下这样定义:总的安排好功(电)与热的能源利用,而不仅是着眼于提高单一生产过程或工艺的能源利用率。他从能量转化的基本定律出发,阐述总能系统中能的综合梯级利用与品位概念,提出了著名的“分配得当、各得其所、温度对口、梯级利用”原则(参见图3),包括:①通过热机把能源最有效地转化成机械能时,基于热源品位概念的“温度对口、梯级利用”原则;②把热机发电和余热利用或供热联合时,大幅度提高能源利用率的“功热并供的梯级利用”原则;③把高温下使用的热机与中低温下工作的热机有机联合时,“联合循环的梯级利用”原则等。
从这个基本原理出发,他提出把燃气轮机和其他用能系统关联起来,综合考虑能源的综合梯级利用,组成总能系统。阐述了燃气轮机总能系统的概念及其基本组合形式,以及他们大幅度提高能源利用率的能力,把燃气轮机发展应用提高到系统高度,包括:①提出通过不同用能系统(发电、供热)和不同热力循环有机联合的梯级整合用能思想;②提出在系统的高度上,总体综合利用好各级能源,以取得更有利的总效果,而不仅仅着眼于提高单一的设备或工艺的能源利用率的系统用能思想;③提出按照能量品位的高低进行梯级利用,总的安排好功、热(冷)与工质内能等各种能量之间的配合关系与转换使用的燃气轮机总能系统开拓集成原则思路;④概述燃气轮机总能系统基本形式以及它们大幅度提高能源利用率的能力等。
现在,他提出的能的梯级利用原则已成为能源动力系统集成开拓的关键核心科学问题,他倡导的总能系统已成为能源科学发展的主流思想,对能源科学技术和能源学科、乃至国民经济发展都产生了巨大而深远的影响。
3. 提出能源领域若干重要的研究方向
基于总能系统的思想,他率先提出对我国经济发展有重大影响的若干总能系统研究方向,如烧天然气的大型联合循环,燃煤整体煤气化联合循环(IGCC)与流化床燃煤流化循环(PFBCC),三联产(电、热、燃料气),多联产(电、热、燃料气、化工产品)等。这些研究方向大多以不同形式列入我国各个时期国家能源领域科技规划和计划中,许多国家重大科学技术发展计划中也有惊人相似的研究内容,如美国的洁净煤技术计划(CCT)、21世纪远景计划(Vision21)与先进透平动力系统项目(ATS),美国和欧洲联合执行的先进燃气轮机合作计划(CAGT),欧洲的尤里卡计划,以及日本的“月光计划”与“日光计划”国家项目等。
至今,吴仲华先生倡导能的梯级利用的总能系统已近30年。在这期间,世界能源动力系统开拓发展正是沿着这个思路蓬勃展开。从最近公布的“国家中长期科学和技术发展规划纲要(2006-2020年)”中能源领域的优先主题、前沿技术以及基础研究等的许多具体内容与发展思路,都可看到吴仲华的科学用能思想影响的痕迹和烙印。
四、研究发展燃气轮机及联合循环
燃气轮机是上世纪四十年代发展起来的新型动力机械。面向21世纪,以燃气轮机为核心的总能系统将成为新世纪的主要动力:油、气燃料的火电主导动力;煤电发展的主要方向;冶金、石化等部门重要节能技术;海、陆、空现代交通的重要动力;环境保护的重要技术。为了提高效率,发展燃气蒸汽联合循环、联产系统等是方向。为了能烧煤,发展整体煤气化联合循环(IGCC)、流化床燃煤联合循环(FBCC)等至关重要。
1. 积极发展地面燃气轮机
吴仲华先生怀着强烈事业心和赤诚爱国心,积极参与国家能源动力领域科学技术的战略研究和决策。他对国家燃气轮机事业满腔热情,多次参加我国燃气轮机发展规划制定与决策。1957年,他以“燃气轮机的研究”荣获国家自然科学奖二等奖。
同年他参与制定国家科学技术发展远景规划,提出重点研究项目“运输工具用燃气轮机”,描绘了在我国研发工业燃气轮机的蓝图。1981年,他在国家机械工业委员会组织的发展和应用燃气轮机问题的座谈会上,做《燃气轮机的发展及其在国防和能源利用中的重要作用》的报告,全面阐述了燃气轮机发展的趋势与重要性,提出我国发展燃气轮机的策略和具体建议,认为各国的具体情况差别很大,应该根据自己的具体情况来发展燃气轮机。他参加组织由国家机械委、国家科委、国务院国防工办领导的燃气轮机应用研究小组,在对国内外燃气轮机发展情况进行全面调研与总结的基础上,提出我国发展地面燃气轮机的规划设想,认为应该“明确重点,缩短战线”,“打破部门界限,实行联合作战”,提出要充分利用国内已有的基础和成果,抓好对当前国民经济和国防建设具有重要作用的一批快见成效的项目,抓好一批具有方向性的重大科研课题。1985年,应国家计委科技局委托,吴先生亲自组织编写《关于发展国产地面燃气轮机的报告》,对如何发展我国民用地面燃气轮机提出许多重要建议。
另外,回国伊始,他就在清华大学创建我国第一个燃气轮机专业和教研组,为国家培养了大批燃气轮机的专业人才。活跃在我国地面燃气轮机领域的技术骨干中,有很多是吴先生的学生,许多人为燃气轮机事业无怨无悔奋斗终身。
2. 科研与生产相结合地发展联合循环
1982年,为了响应党中央关于“科学技术要面向国民经济”的号召,吴仲华先生倡议成立中华燃气轮机研究与开发公司,为打开科研与生产相结合的新局面进行尝试。公司率先尝试以公司形式承包工程建设和国家科研项目(北京燕山石化公司东方红炼油厂燃气蒸汽联合循环发电供热试验装置)。项目的近期目标是运用已有研究成果,消化吸收斯贝航空发动机技术,开拓移植航空技术发展地面工业型燃气轮机途径,并将热力学理论应用到企业能量转换过程,研制国产首台排气全燃型联合循环发电供热装置,为我国石化、电力等部门推广应用打下基础。他还亲自组织研究提出利用进口闲置的斯贝航空发动机改型,并实际实施了其中的三种方案:用核心机改装为联合循环发电装置(用于东炼工程),利用低压压气机切顶以及切顶加零级两种方案改装为船用发动机(拟用于舰艇动力)等。
1989年,创办中国科学院下属的北京科能能源与动力研究发展中心,进行在设备制造领域用市场推动研发的大胆尝试。另外,他还被聘为大庆石油管理局和辽河油田管理局能源技术顾问,多次深入到油田现场做调研,为提高大庆油田油气利用水平,建议推广应用燃气轮机及其总能系统。
3. 积极推动我国洁净煤技术的发展
吴仲华先生高瞻远瞩,深刻认识到洁净煤技术对我国的重要性,早在上世纪八十年代初我国联合循环工作起步之始,他就提出了一个“双管齐下”的方针:一方面在能够烧气和烧油的地方,先发展烧气烧油的联合循环装置,以取得实际经验,也为使用者节能;另一方面要大力研究各种在燃气轮机中烧煤的方法。在两者都取得成绩以后,合起来就可以得到适合我国国情的高效率、低污染、少用水的烧煤联合循环装置了。吴仲华先生在他最后的岁月中,一直念念不忘向国家建议发展整体煤气化联合循环(IGCC)的洁净煤发电技术,他于1990年和1992年会同李敏华教授分别向邹家华副总理、胡启恒副院长和其他有关领导提交在我国发展IGCC的建议,他不仅向有关部门和领导全面介绍了国外、特别是美国在这方面的进展和做法,并提出我国开展这方面工作的具体建议,希望在我国能早日实现IGCC示范项目。
另外,吴先生还在燃气热力性质、冲压发动机等方面,也做出了优异的贡献。正如美国加州大学Berkery分校校长田长霖教授所评论的:国际工程热物理学界,吴仲华是中国的代表。